על חומצות שומן רוויות ולא רוויות, שומן טרנס והידרוגנציה
קשה לדמיין מטבח פעיל ללא שמן זית או קנולה, חמאה או מרגרינה. שמנים ושומנים מאפשרים לנו לבשל מזון בטמפרטורת גבוהות בהרבה מטמפרטורת הרתיחה של מים, והם מאפשרים למזון המבושל לפתח מגוון טעמים חדשים ומורכבים, הן הודות לטמפרטורה הגבוהה שמגבירה את תגובות מאיאר והקרמליזציה, והן הודות לעובדה שחומרי ריח רבים, שנותנים טעם, מסיסים בשומנים ולא במים. כמו-כן, השומנים מעשירים את המרקם של מאפים רבים ונותנים להם גם פריכות וגם עסיסיות.
שמנים ושומנים שייכים למשפחת הליפידים – חומרים שאינם מתערבבים עם מים. הם מרכיבים מרכזיים של תאי ורקמות הצמחים ובעלי-החיים, ולכולם אותו מבנה כימי, של טריגליצרידים: שלד בן שלושה אטומי פחמן (גליצרול), אליו קשורות שלוש חומצות שומן. [ראו הרחבה ב"בישול דגים ואומגה-3"].
כפי שהוזכר ב"בישול דגים ואומגה-3", חומצת שומן היא חומצה בעלת שרשרת ארוכה של אטומי פחמן, בת 4-35 פחמנים, ובדרך-כלל 14-20. כל סוג שמן מורכב מתערובת של מספר חומצות שומן שונות, שיכולות ליצור טריגליצרידים שונים, לעתים כמה עשרות. הרכב הטריגליצרידים קובע את תכונות השומן.
חומצת השומן יכולה להיות רוויה או לא-רוויה, בהתאם לסוג הקשרים הכימיים בין אטומי הפחמן בשרשרת, המכונים "קשרים יחידים" או "קשרים כפולים" (ראו ציור 1). השרשראות הרוויות, שרשראות בהן כל הקשרים בין הפחמנים הם קשרים יחידים, הן ישרות ויכולות להיארז בצפיפות ובאופן מסודר זו לצד זו, ולכן ככל שהשומן מכיל יותר שרשראות רוויות, ארוזות בצפיפות, השומן יהיה מוצק בטמפרטורת החדר.
שרשראות לא-רוויות, שבהן ישנם קשרים כפולים, הן מכופפות, והכיפופים מפריעים לאריזה צפופה ומסודרת שלהן זו לצד זו. ככל שיש יותר חומצות- שומן לא רוויות בשומן, הוא יטה להיות נוזלי בטמפרטורת החדר.
זאת הסיבה ששומנים עשירים בחומצות-שומן רוויות, כמו שומן בעלי-חיים, חמאת קקאו, שמן דקלים ושמן קוקוס, הם מוצקים בטמפרטורת החדר, ושמנים שעשירים בחומצות-שומן לא-רוויות, כמו רוב השמנים הצמחיים, שמן דגים ושמן לווייתנים, הם נוזליים בטמפרטורת החדר.
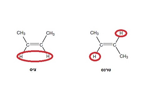
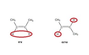
שכנים או מעבר לים: ציס וטרנס
מה שגורם לכיפופים בשרשראות הלא-רוויות הוא המבנה של הקשרים הכפולים לאורך השרשרת. בעוד שקשרים יחידים הם גמישים, והאטומים סביב הקשרים מסתובבים כל הזמן ומשנים את מקומם, ומתאימים את עצמם לתנאי הסביבה, קשר כפול הוא קשר קשיח. לא ניתן לסובב את האטומים סביב ציר הקשר הכפול ולהחליף את מקומם במרחב. לכן, חשוב מאד אם שני המימנים השכנים בקשר הכפול נמצאים זה לצד זה או זה מול זה (ראו ציור 2). אם הם נמצאים זה לצד זה, הקשר מכונה קשר ציס. אם הם זה מול זה, הקשר הוא קשר טרנס. (חשבו למשל, על הביטוי "טרנס-אטלנטי").
רוב חומצות השומן הלא רוויות בצמחים ובבעלי-חיים מכילות קשרי ציס. חומצות-שומן שמכילות רמות גבוהות של קשרי-טרנס זכו לכינוי "שומן טרנס". כיצד הגיעו רמות גבוהות של שומן-טרנס למזוננו ומדוע החששות הגדולים מצריכתו?
החששות נובעים מההבנה של השפעת השומן שאנו צורכים על מערכות שונות בגופנו. ההמלצות הרפואיות היום הן להגביל את צריכת חומצות השומן הרוויות, כיוון שנמצא שהן קשורות לעליית ריכוז הכולסטרול בדם וכך לעלייה בסיכויים לחלות במחלות לב כליליות. לגבי שומן טרנס, נמצא שהוא מעלה בדם את רמות הכולסטרול ה"רע" LDL)) ובמקביל מפחית את רמות הכולסטרול ה"טוב" ((HDL, וכך מגביר את הסיכון למחלות לב כליליות אף יותר מחומצות שומן רוויות. אשר למקורו של שומן-הטרנס במטבחנו המודרני, היא קשורה לתהליכים שמטרתם היתה לאפשר עבודה קלה יותר במטבח עם שמנים שונים.
ממוצק לנוזל ובחזרה: מעברים במטבח
כאמור, שומן הוא תערובת של חומצות שומן רבות ושונות ולכל אחת מהן טמפרטורת התכה משלה, טמפרטורה בה החומר הופך ממוצק לנוזל. התוצאה היא ששומן מוצק ניתך על-פני טווח טמפרטורות. למשל, חמאה מתחילה להתרכך סביב 27 מעלות צלסיוס, כאשר הקשרים סביב חומצות השומן הקצרות יותר נשברים, והופכת לנוזלית לגמרי ב- 32 מעלות, כאשר נשברים גם הקשרים בין חומצות השומן הארוכות יותר. באותו טווח טמפרטורות בו החמאה "פלסטית" – רכה וניתנת לעיבוד – חומצות שומן נוזליות כלואות בתוך רשת של חומצות שומן מוצקות. זוהי תכונה חשובה ורצויה של השומנים המוצקים שנמצאים בשימוש במטבח.
לשם השוואה, במים כל המולקולות זהות, ולכן לחומר זה נקודת התכה מדויקת וחדה, הלא היא אפס מעלות צלסיוס.
מעברים במעבדה: הידרוגנציה
דרך נוספת לשנות את מצב-הצבירה של השומן היא על-ידי שינוי דרגת הרוויה של חומצות השומן. על-ידי הוספת מימנים לקשרים הלא-רוויים, כלומר הפיכתם מלא-רוויים לרוויים, מה שגורם ליישור השרשראות הכפופות ולאריזה יותר קומפקטית שלהן, אפשר להפוך שמן נוזלי לשומן מוצק ולהגביר את המוצקות של שומן רך. תכונות אלה רצויות בשביל לקבל פריכות, שכבתיות ונפח במאפים או על-מנת להפחית את השמנוניות בסופגניות ועוגיות.
הוספת המימנים לקשרים הכפולים אינה תהליך שמתרחש בספונטניות ואף לא בקלות. הקשר הכפול חזק מאד ויש להשקיע אנרגיה רבה בפתיחתו. התהליך הכימי בו עושים זאת נקרא הידרוגנציה, ובעברית: ממנון (הוספת מימן). הוא כולל את חשיפת השומנים לגז מימן בנוכחות חום גבוה, לחץ גבוה והזרז ניקל. [ זרז (קטליזאטור) הוא חומר שמזרז תגובה כימית אך בסוף התגובה הוא עצמו נותר ללא שינוי, וניתן להשתמש בו מחדש. דוגמאות לזרזים הם אנזימים ומתכות כמו פלטינה וניקל.]
בתהליך ההידרוגנציה נוספים מימנים לקשר הכפול של חומצות השומן הלא רוויות והן הופכות להיות רוויות. אך כיוון ששומנים שהם רוויים לגמרי הם כה מוצקים, שקשה מאד לעבוד איתם, התהליך המקובל הוא הידרוגנציה חלקית, תוך שליטה על דרגת הרוויה של הקשרים הכפולים. כך, חלק מחומצות השומן נשארות לא רוויות, והשומן המתקבל רך וקל יותר לעיבוד.
כאמור, סיבה מרכזית לביצוע הידרוגנציה לשומן לא-רווי היא כדי שיהיה קל יותר לעבד אותו במטבח. סיבה נוספת להרוויית הקשרים הכפולים היא כדי להגביר את יציבות השומן בתהליכי חמצון, שמובילים לטעמי-לוואי מעופשים. אפילו דרגה נמוכה של הידרוגנציה עוזרת לעכב התעפשות. לכן לעתים מוסיפים מימנים גם לשמנים צמחיים שנשארים נוזליים, ולא נראים לנו כאילו עברו את התהליך.
אליה וקוץ בה
חיסרון של הידרוגנציה הוא שהיא יוצרת חומצות שומן רוויות, שכאמור, נחשבות כמעלות את רמת הכולסטרול בדם. אך חיסרון גדול יותר הוא שהידרוגנציה חלקית גם יוצרת חומצות-שומן טרנס. בחלק מהמקרים, במקום להרוות את הקשר הכפול, היא גורמת לסידור מרחבי חדש שלו, מצורת ציס לצורת טרנס. שרשראות בגיאומטרית טרנס ישרות יותר משרשראות בגיאומטרית ציס, מתגבשות בקלות רבה יותר ומתקבל שומן קשה יותר. בצורה זו, הקשר הכפול מוגן יותר מפני חמצון, וכך השומן יציב יותר. מצד שני, בדומה לשרשראות הרוויות, שומן טרנס מעלה את רמת הכולסטרול בדם ואת הסיכון למחלות לב.
לכן, כדי להפחית את רמת שומן הטרנס בשומנים המעובדים, פותחו מספר גישות חלופיות להידרוגנציה, ואחרות נמצאות בפיתוח. למשל, גידול זנים של סויה או של צמחים אחרים שהם בעלי תכולה נמוכה של חומצות-שומן רב-לא-רוויות כך שלשמנים המופקים מהם אין צורך לעשות הידרוגנציה. שמנים אלה הם בעלי רמות נמוכות של חומצת-שומן בשם חומצה אלפא-לינולנית, שהיא רב-לא-רוויה ומתעפשת בקלות. השמנים החדשים, המכונים Low-lin oils, הם עמידים יותר מפני התעפשות, וכבר מיוצרים שמני חמניות, קנולה וסויה מסוג זה.
גישה אחרת היא לייצר מרגרינה משומנים שהם רוויים באופן טבעי, כמו שמן דקלים ושמן קוקוס, להם אין צורך לעשות הידרוגנציה כדי לקבל את התכונות הפלסטיות, כלומר רכות וקלות העיבוד. עוד דרך לייצר מרגרינה ללא שומן טרנס היא לערבב שומנים מוצקים שעברו הידרוגנציה מלאה עם שמנים נוזליים. היום רוב המרגרינות והמוצרים המכילים אותן כבר לא מכילוים שומן טרנס. יש לזכור, כמובן, שרמות מזעריות של שומן-טרנס יש בצמחים באופן טבעי, כך שרמת שומן-הטרנס באף שמן איננה יכולה להיות אפס מוחלט.




מאוד מעניין. שאלה: אם חמאה (שמראש היא שומן רווי) מכילה גם שומן טראנס, האם זה אומר שהיא גם עברה הידרוגנציה חלקית, או שבאופן טבעי חלק מהמולקולות שלה הן בקשר טראנס?
חלב מכיל באופן טבעי אחוז נמוך של שומן טרנס, ולכן גם חמאה מכילה מעט. היא אינה עוברת הידרוגנציה.
היי נעמי, האתר נפלא ומעניין! תודה!
בחמאה יש יותר שומן טראנס ממרגרינה, פשוט צריך לקרוא את התוויות. בדקתי עם התלמידים:-)
יתכן והסיבה לכך היא שמוסיפים שומן טראנס לחמאה כדי שתהיה יותר יציבה בטמפרטורת החדר.
תודה רבה!
בכל שומן יש באופן טבעי אחוז מסויים של שומנים במבנה טראנס, כולל בחמאה. לא מוסיפים לה שומנים כאלה, הם נמצאים שם באופן טבעי. מה שקובע את המוצקות הוא סוג והרכב השומנים (למשל, כמה קשרים כפולים יש בחומצות השומן, היחס בין חומצות השומן השונות).
בעבר, תהליכי ההידרוגנציה גרמו לכך שהיה יותר שומן טראנס במוצרים כמו מרגרינה, אך כיום משתמשים בתהליכים אחרים וכמותם קטנה מאד.
תודה רבה נעמי!
מאוד מעניין, השאלה עכשיו היא מה עדיף? את מעט שומן הטרנס שבמרגרינה או היותר והטבעי שבחמאה…או שאולי בעתיד יצטרכו לציין על חמאה ושאר המוצרים הדומים לה. שמקור שומן הטראנס הוא טבעי.
הי נסים, להבנתי אין בעיה עם מעט שומן הטרנס שיש במזון באופן טבעי. הכל עניין של מינון וכמויות.
בכל מקרה, נושא התוויות והפירוט משתנה כל הזמן, ואולי באמת יגיעו לציין גם זאת… אם לא באופן רשמי, אז כחלק מפרסום – כמו הציון על שמן צמחי ש"אינו מכיל כולסטרול", שמציין את הברור מאליו (שהרי כולסטרול מקורו בשומן מן החי ולא מצמחים ומוצריהם).
תודה!
לא ראיתי אף פעם על שמן שקניתי בסופר שרשום עליו שעבר "הידרוגנציה", אבל כן כתוב שהוא "מזוכך". מה הקשר בין שני הביטויים?
הידרוגנציה היא תהליך להכנת שומנים מוצקים. זיכוך הוא תהליך שנעשה על שמנים נוזליים. בתהליך הזיכוך מסלקים מן השמן הנוזלי חומרים שונים מהצמח או הפרי ממנו הופק השמן שאינם שמן, ומקבלים בעיקר שמן נקי. כך, למשל, אפשר לחמם את השמן המזוכך לטמפרטורות גבוהות יותר מאשר השמן המקורי, לפני שהוא מתחיל להתפרק. מצד שני, מאבדים גם רכיבים אחרים.ארחיב על תהליך זה בהמשך.
תודה!
תודה על המאמר המעניין!
הבנתי שיש מחלוקת סביב שמן הקוקוס לגבי התועלת הבריאותית שלו,בקהילה המדעית.
מצד אחד הוא שומן רווי, ולכן לא כדאי לצרוך אותו.
ומצד שני,טוענים שבניגוד לשומן רווי כמו חמאה,יש לו שרשרת קצרה או בינונית ולכן הוא בריא..
יש לך דעה לגביו?
שלום אליה, אכן, הדיעות חלוקות. כיוון שאינני דיאטנית או רופאה, לא אוכל להגיב בעניין.
אוסיף שתוצאות מחקרים אחרונים בנושא השומן הרווי מתחילות להוביל לשינוי בגישה, וייתכן שהוא פחות מזיק ממה שחשבו. אך יש להמשיך ולחקור את הנושא, ומן הסתם בהמשך נדע יותר.
האם ידוע לך מה קורה לשומן טראנס בגוף? יש טענה שהם מצטברים על כלי הדם וגורמים לנזק אבל האם חלק מהם אינו מתפנה בצואה? האם אין שום בקרה על פינוי שלהם מהגוף?
שאלה מעניינת מאד. אך זה נוגע בתחום הרפואי\פיזיולוגי ולא בתחום הבישול והמזון, לא אוכל לענות.
שלום
תודה על המידע העשיר
יש לי שאלה: למה החלפת השמן במרגרינה יעשה את המוצר פחות שומנוני?? כמו סופגניות
ההרכב הכימי של שני חומרים אלה שונה, ולכן יתנהגו אחרת. שמן מכיל 100% שומן. חמאה היא אמולסיה, שמכילה כ- 20% מים. בחימום, המים מתאדים מתוך החמאה, וכל זמן שהאדים נדחפים החוצה, שמן לא נכנס אל המאפה. ראי פירוט במאמר "טיגון צ'יפס".
פינגבאק: מושג ירוק: במיה וחילבה לניקוי מים, שמן מאצות, מיחזור מים לגידול אצות | מדע בצלחת – לגלות את העולם טעם אחר טעם
פינגבאק: פתגמים אכילים: הדג מסריח מהראש | מדע בצלחת – לגלות את העולם טעם אחר טעם
פינגבאק: על קצה המזלג: לחוח נדבק למחבת | מדע בצלחת – לגלות את העולם טעם אחר טעם
פינגבאק: על קצה המזלג: מחלב | מדע בצלחת – לגלות את העולם טעם אחר טעם
פינגבאק: פתגמים אכילים: לתפוס דג שמן בחכה | מדע בצלחת (R) – לגלות את העולם טעם אחר טעם
פינגבאק: פתגמים אכילים: לעשות מזה צימעס | מדע בצלחת (R) – לגלות את העולם טעם אחר טעם