תפוח-שלכת, רימון-שלכת

פירות הסתיו מעטרים את שולחנות החג והסוכות בצבעים חזקים ועליזים, שהם גם צבעי השלכת. רימון אדום ותפוחים אדומים, צהובים וירוקים משתלבים בעונה זו עם הצבעים של עלי העצים שמסביב, הירוקים לצד אלה המאדימים ומצהיבים. ואכן, הפיגמנטים (צבענים), שצובעים את הפירות, הם גם אלה שאחראים לצבעי העלים המתחלפים. צבענים אלה משתייכים לשלוש משפחות כימיות מרכזיות: הכלורופיל הירוק, הקרוטנואידים הצהובים-כתומים-אדומים, והאנתוציאנינים האדומים-כחולים-סגולים.

מושג ירוק

כלורופיל

רוב עלי הצמחים הם ירוקים, הודות לפיגמנט כלורופיל. לכלורופיל תפקיד מרכזי בפוטוסינתזה, תהליך המתרחש בעלים, שבו הצמח קולט את אנרגית השמש ובעזרתה הופך פחמן דו-חמצני ומים לחמצן וסוכר. במהלך הקיץ, מים וחומרי מזון שונים מובלים מהשורשים, דרך הענפים, אל העלים, והסוכר שנוצר בעלים בתהליך הפוטוסינתזה זורם מהם לחלקי הצמח האחרים. מן הסוכר מפיק הצמח אנרגיה, שמקיימת אותו ומשמשת לגדילתו.

מולקולת הכלורופיל איננה יציבה והיא מתפרקת בחשיפה לאור חזק. לשם ייצורו מחדש, הצמח זקוק לאור ולחום. לכן, במהלך הקיץ, הכלורופיל נוצר ומתפרק ללא הרף.

בסתיו, הימים המתקצרים (פחות אור) והלילות המתקררים (פחות חום) מעוררים שינויים בצמחים. אחד השינויים הוא יצירת רקמת ניתוק בבסיסה של פטוטרת העלה, אשר חוסמת את זרימת המים וחומרי-המזון אל העלה וממנו. ייצור הכלורופיל הולך ודועך וכלורופיל חדש לא נוצר. כתוצאה מכך, הצבע הירוק של העלים דוהה עד שהוא נעלם. היעדרו של הכלורופיל בעלים חושפת לעינינו פיגמנטים אחרים שנמצאים בהם אולם צבעו הירוק העז של הכלורופיל הסתיר אותם.

כלורופיל נותן את הצבע הירוק גם לפירות, ירקות ועלים ירוקים שאנו אוכלים, כמו חסה, מלפפון, ועשבי תיבול.

ראש גזר

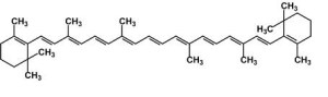
בטא-קרוטן

ישנם עצים, כמו מייפל וערמון, שבהם העלים מכילים, נוסף לכלורופיל, גם קרוטנואידים. קרוטנואידים הם משפחה של פיגמנטים בעלי צבע צהוב, כתום או אדום.

בעלה, הקרוטנואידים מסייעים לכלורופיל בתהליך הפוטוסינתזה, על-ידי כך שהם מעבירים אליו את אנרגית האור שהם קולטים. הם יותר יציבים ממנו ואין צורך באור לשם ייצורם. כך, הם נשארים בעלים גם כאשר הכלורופיל נעלם. העלה משנה את צבעו מירוק לצהוב, כתום או אדום.

פיגמנטים צבעוניים אלה נמצאים גם בירקות ופירות רבים. אחד המפורסמים בהם הוא בטא-קרוטן, שצובע בכתום גזר, דלעת, בטטה, ופלפלים כתומים. קרוטנואידים אחרים הם ליקופן, שצובע באדום עגבניות ואבטיחים, וקבוצת הקסנתופילים (xanthophylls), .שצובעים בצהוב תירס ופלפלים צהובים, ואת חלמון הביצה

האדום האדום הזה

אנתוציאנין

בעצים כמו מייפל, מיני אלון מסוימים ואפרסמון, צבע עלי השלכת הוא אדום וסגול, הודות לקבוצת הפיגמנטים אנתוציאנינים.

האנתוציאנינים, בניגוד לקרוטנואידים, אינם נמצאים בעלים כל הזמן. הם נוצרים בעונת השלכת, כאשר ריכוז הסוכר בתאי העלים גבוה דיו, כתוצאה מתגובה בין סוכרים וחלבונים בנוזל התא. האנתוציאנינים יכולים לצבוע את כל חלקי הצמח – עלים, גבעולים, שורשים, פרחים ופירות. התגובה לייצורם דורשת גם אור. לכן, למשל, לחי התפוח והאגס שפונה לשמש היא אדומה לעומת הצד המוצל שנשאר ירוק.

צבעם של האנתוצינינים תלוי בדרגת החומציות (ה- pH) של נוזל התא בו הם נמצאים. כשנוזל התא חומצי, צבעם אדום בוהק וכאשר הוא בסיסי, צבעם כחול-סגול. הם אלה שנותנים את הצבע האדום לדובדבנים, תפוחים, תותים, רימונים, חמוציות, וורדים, ואת הגוונים הכחולים-סגולים לחצילים, אוכמניות, כרוב סגול, תפוח-אדמה סגול, ענבים סגולים, פטל וסיגליות.

את האנתוציאנינים גילה הכימאי הגרמני היהודי ריכרד ווילשטטר (Willstaetter), שחקר את הכלורופיל והצבענים בצמחים. ב-1915 זכה בפרס נובל על תגליותיו. ב- 1924, כמחאה על התגברות האנטישמיות, פרש מעבודתו באוניברסיטת מינכן והוא בן חמישים ושלוש, ולא שעה לבקשות חוזרות ונשנות בגרמניה ובעולם לחזור למחקר. לאחר עלית הנאצים עזב לשוויץ ושם חי עד מותו.

כל צבעי השלכת

צבעי עלי השלכת ועוצמתם תלויים במזג-האוויר ובתערובת הפיגמנטים הייחודית של כל צמח. פחות שעות אור וטמפרטורות נמוכות פוגעים בייצור הכלורופיל בעלים, וחושפים את הקרוטנואידים שבהם. שמש חזקה ומזג-אוויר יבש מגבירים את ייצור האנתוציאנינים, על-ידי הגברת ייצור הסוכר בנוזל התא. לכן צבעי השלכת היפים ביותר מתקבלים באיזורים בהם בסתיו הימים שמשיים ויבשים והלילות קרירים ויבשים.

כאשר אנו אוכלים תפוח, אנו נהנים מכל צבעי השלכת המגולמים בו. קליפת הפרי הצבעונית עשירה בכלורופיל ובקרוטנואידים ובשר הפרי מכיל כמויות קטנות מהם, למרות שהוא נראה לבן. בתהליכי ההבשלה, נוספים גם אנתוציאנינים לקליפת התפוח.

שנה טובה וצבעונית!

פוסט זה פורסם בקטגוריה ירקות ופירות, צבע, עם התגים , , , , . אפשר להגיע ישירות לפוסט זה עם קישור ישיר.

20 Responses to תפוח-שלכת, רימון-שלכת

  1. תמונת הפרופיל של Erez Reznik Erez Reznik הגיב:

    בערדו״ם – ערבה דרומית-
    מגדלים רימונים ירוקי עד, בשנה שמניבים 3 גלי פרי

    ארז מרולה
    קוסמטיקה ,תוספי תזונה
    0528240009
    MARULA ALL OVER ARAVA
    MARULA OF WELLNESS

  2. תמונת הפרופיל של Dave Dave הגיב:

    ברוכה השבה.
    התגעגענו…

  3. תמונת הפרופיל של שני שני הגיב:

    נפלא!
    את יכולה אולי להרחיב עוד טיפה על הקשר שבין ריכוזי סוכר וצבעים? כבר הרבה זמן שאני תוהה מדוע כל הירקות הכתומים מתוקים, למשל.
    ואם האנתוציאנינים נוצרים כאשר ריכוז הסוכר גבוה, איך זה מסביר ירקות לא מתוקים כמו כרוב וצנונית?

    • תמונת הפרופיל של נעמי זיו נעמי זיו הגיב:

      תודה 🙂
      לצבע יש מספר סיבות. למשל, בפירות, הצבע מתפתח כחלק מתהליך ההבשלה, וחלק מהתהליך הוא גם עליה ברמות הסוכר. השילוב בין שני אלה מושך בעלי-חיים שיאכלו את הפרי ויפיצו את הזרעים.
      בירקות ושורשים צבעוניים או בעלי קליפה צבעונית, סיבה אחת לעליה במתיקות בתקופות הקרות היא הגנה על הצמח מפני קיפאון- ראי "מדוע גזר וכרוב מתוקים יותר בחורף?". למרות שאין להם מתיקות גבוהה כמו לפירות, הם עדיין מכילים סוכר, ובנוסף, הם מכילים גם חומרים אחרים שהשפעתם על הטעם דומיננטית יותר. למשל, בצנוניות, החריפות מאפילה על המתיקות. אשר לצבע שלהם – אנתוציאנינים הם גם נוגדי-חמצון חזקים, וכנראה גם בעלי תכונות אנטי-בקטריאליות או מגנות אחרות, וכך תפקידם להגן על חלקי הצמח מפני מזיקים. זה יכול להסביר את צבעם של השורשים הטמונים באדמה, כמו צנוניות, גזר, ותפוחי-אדמה סגולים.

  4. פינגבאק: נל"פ: קלאפוטי דובדבנים | מדע בצלחת

  5. פינגבאק: על קצה המזלג: טיפות מים על דלורית ומלפפון, בישול לוביה, בצק ג'חנון | מדע בצלחת

  6. פינגבאק: חם מהתנור: הכל זהב, הכל זהב | מדע בצלחת – לגלות את העולם טעם אחר טעם

  7. פינגבאק: מזוננו לאן: עתיד סירופ המייפל | מדע בצלחת – לגלות את העולם טעם אחר טעם

  8. פינגבאק: נל"פ: קליפות הדרים מסוכרות | מדע בצלחת – לגלות את העולם טעם אחר טעם

  9. פינגבאק: העץ הנדיב: שזיף | מדע בצלחת – לגלות את העולם טעם אחר טעם

  10. פינגבאק: על קצה המזלג: אספרגוס | מדע בצלחת – לגלות את העולם טעם אחר טעם

  11. פינגבאק: על קצה המזלג: שאלות קמח, תפיחה, לחם | מדע בצלחת – לגלות את העולם טעם אחר טעם

  12. פינגבאק: על קצה המזלג: מחלב | מדע בצלחת – לגלות את העולם טעם אחר טעם

  13. פינגבאק: מושג ירוק | מדע בצלחת (R) – לגלות את העולם טעם אחר טעם

  14. פינגבאק: פתגמים אכילים: אין לי מושג ירוק | מדע בצלחת (R) – לגלות את העולם טעם אחר טעם

  15. פינגבאק: פתגמים אכילים: לעשות מזה צימעס | מדע בצלחת (R) – לגלות את העולם טעם אחר טעם

  16. פינגבאק: לסיים בחליטת צמחים  – חלק א': הגביע האדום והכחול האצילי | מדע בצלחת (R) – לגלות את העולם טעם אחר טעם

כתיבת תגובה